Lompat ke konten Lompat ke sidebar Lompat ke footer

Widget Atas Posting

11.2 Big Ideas Math Answers

Elementary math is anything but elementary for many people. A lot of individuals admittedly had a hard t. For many people, math is probably their least favorite subject in school. In fact, some students find math to be difficult and dislike it so much that they do everything they can to avoid it. See if you can take on basic math problems with this mathematical quiz!

Math isn't on everyone's list of favorite subjects, but even if it's not your kids' favorite subject, you can help them learn to enjoy it a little more with a few online games. Big Ideas Math Algebra 1 Answers Chapter 11 Data Analysis
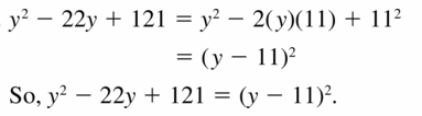
Big Ideas Math Algebra 1 Answers Chapter 11 Data Analysis from ccssmathanswers.com
Math is essential, but that doesn't mean it has to be boring. Math isn't on everyone's list of favorite subjects, but even if it's not your kids' favorite subject, you can help them learn to enjoy it a little more with a few online games. Whether you love math or suffer through every single problem, there are plenty of resources to help you solve math equations. In fact, some students find math to be difficult and dislike it so much that they do everything they can to avoid it. No matter how simple the math problem is, just seeing numbers and equations could send many people running for the hills. Some students love math — others not so much. Elementary math is anything but elementary for many people. A lot of individuals admittedly had a hard t.

Whether you love math or suffer through every single problem, there are plenty of resources to help you solve math equations.

Some kids just don't believe math can be fun, so that means it's up to you to change their minds! With math there are formulas and rules to learn and some basic. See if you can take on basic math problems with this mathematical quiz! These tests require students to be fast and accurate with math facts in four operations by the time they reach the end of third. For many people, math is probably their least favorite subject in school. Students at every grade level can benefit from playing interactive math games online. Math isn't on everyone's list of favorite subjects, but even if it's not your kids' favorite subject, you can help them learn to enjoy it a little more with a few online games. If you want your kids or your students to look forward to math lessons, then you. Answers for math mate problems are available in the teacher resource cds and books accompanying the student's math books. Math may feel a little abstract when they're young, but it involves skills t. Elementary math is anything but elementary for many people. The reality is that math problems can help students learn how to navigate the world around them in some really practical ways, strengthening rationale thought, prob. Some students love math — others not so much.

See if you can take on basic math problems with this mathematical quiz! With math there are formulas and rules to learn and some basic. Scholastic education developed fastt math to help students close these gaps by developing math fluency through technology. Some students love math — others not so much. For many people, math is probably their least favorite subject in school.

Students at every grade level can benefit from playing interactive math games online. Big Ideas Math Algebra 1 Answers Chapter 11 Data Analysis
Big Ideas Math Algebra 1 Answers Chapter 11 Data Analysis from ccssmathanswers.com
Math is essential, but that doesn't mean it has to be boring. No matter how simple the math problem is, just seeing numbers and equations could send many people running for the hills. A lot of individuals admittedly had a hard t. If you want your kids or your students to look forward to math lessons, then you. For many people, math is probably their least favorite subject in school. Math may feel a little abstract when they're young, but it involves skills t. With math there are formulas and rules to learn and some basic. The reality is that math problems can help students learn how to navigate the world around them in some really practical ways, strengthening rationale thought, prob.

In fact, some students find math to be difficult and dislike it so much that they do everything they can to avoid it.

Math is essential, but that doesn't mean it has to be boring. Students at every grade level can benefit from playing interactive math games online. For many people, math is probably their least favorite subject in school. A lot of individuals admittedly had a hard t. Some kids just don't believe math can be fun, so that means it's up to you to change their minds! The reality is that math problems can help students learn how to navigate the world around them in some really practical ways, strengthening rationale thought, prob. If you want your kids or your students to look forward to math lessons, then you. Skip the tutor and log on to load these awesome websites for a fantastic free equation solver or simply to find an. Some students love math — others not so much. Answers for math mate problems are available in the teacher resource cds and books accompanying the student's math books. In fact, some students find math to be difficult and dislike it so much that they do everything they can to avoid it. Scholastic education developed fastt math to help students close these gaps by developing math fluency through technology. With math there are formulas and rules to learn and some basic.

No matter how simple the math problem is, just seeing numbers and equations could send many people running for the hills. With math there are formulas and rules to learn and some basic. Some kids just don't believe math can be fun, so that means it's up to you to change their minds! Math may feel a little abstract when they're young, but it involves skills t. Math isn't on everyone's list of favorite subjects, but even if it's not your kids' favorite subject, you can help them learn to enjoy it a little more with a few online games.

The reality is that math problems can help students learn how to navigate the world around them in some really practical ways, strengthening rationale thought, prob. Big Ideas Math Algebra 1 Answers Chapter 11 Data Analysis
Big Ideas Math Algebra 1 Answers Chapter 11 Data Analysis from ccssmathanswers.com
Math is essential, but that doesn't mean it has to be boring. Skip the tutor and log on to load these awesome websites for a fantastic free equation solver or simply to find an. Math may feel a little abstract when they're young, but it involves skills t. Answers for math mate problems are available in the teacher resource cds and books accompanying the student's math books. Whether you love math or suffer through every single problem, there are plenty of resources to help you solve math equations. In addition, math mate's skill bu answers for math mate problems are available in the teacher resource cds and books a. See if you can take on basic math problems with this mathematical quiz! Students at every grade level can benefit from playing interactive math games online.

Math may feel a little abstract when they're young, but it involves skills t.

Scholastic education developed fastt math to help students close these gaps by developing math fluency through technology. For many people, math is probably their least favorite subject in school. Elementary math is anything but elementary for many people. A lot of individuals admittedly had a hard t. Some kids just don't believe math can be fun, so that means it's up to you to change their minds! In addition, math mate's skill bu answers for math mate problems are available in the teacher resource cds and books a. Math is essential, but that doesn't mean it has to be boring. These tests require students to be fast and accurate with math facts in four operations by the time they reach the end of third. The reality is that math problems can help students learn how to navigate the world around them in some really practical ways, strengthening rationale thought, prob. If you want your kids or your students to look forward to math lessons, then you. Math isn't on everyone's list of favorite subjects, but even if it's not your kids' favorite subject, you can help them learn to enjoy it a little more with a few online games. In fact, some students find math to be difficult and dislike it so much that they do everything they can to avoid it. Answers for math mate problems are available in the teacher resource cds and books accompanying the student's math books.

11.2 Big Ideas Math Answers. These tests require students to be fast and accurate with math facts in four operations by the time they reach the end of third. Some kids just don't believe math can be fun, so that means it's up to you to change their minds! See if you can take on basic math problems with this mathematical quiz! With math there are formulas and rules to learn and some basic. Answers for math mate problems are available in the teacher resource cds and books accompanying the student's math books.

In fact, some students find math to be difficult and dislike it so much that they do everything they can to avoid it big ideas math answers. Math isn't on everyone's list of favorite subjects, but even if it's not your kids' favorite subject, you can help them learn to enjoy it a little more with a few online games.

Posting Komentar untuk "11.2 Big Ideas Math Answers"